Как по тахометру узнать скорость автомобиля?
Авто Дэу Нексия . Сломалась стрелка спидометра. Как можно по тахометру определить скорость автомобиля ?
Потому, что тахометр показывает обороты коленчатого вала двигателя, а они, в свою очередь, могут быть одинаковыми на любой передаче и зависят только от подачи количества топлива в двигатель.
Одни и те же обороты двигателя на переднем ходу и на заднем ни чего Вам не скажут о скорости автомобиля.
Проедьте на аналогичном автомобиле, запомните (или запишите) скорость автомобиля при 2000 об/мин по тахометру при движении последовательно на 1, 2, 3, 4, 5 передачах. Пересчитайте соотношение для 1000 об/мин (чтобы было проще высчитывать скорость). К примеру, если для 5 передачи получилось 80 км/час при 2000 об/мин, то на каждую 1000 получается 40 км/час. Перемножайте фактические показания тахометра на полученный коэффициент и получайте скорость. Только не забывайте при этом следить за дорогой, так как эти вычисления могут сильно отвлекать от управления автомобилем. И надо помнить, что правилами запрещена эксплуатация автомобиля с неисправным спидометром, так что приведенный совет используйте только для поездок с крайней необходимостью, например, чтобы добраться до дома, или до СТО для ремонта или замены спидометра. Кстати, ни разу не встречал, чтобы сломалась именно стрелка спидометра. Обычно спидометр перестает работать из-за выхода из строя тросика привода (или неполадок в проводке при электрическом приводе) или самого привода спидометра.
Определение скорости автомобиля по тахометру

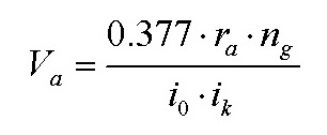
Формула перевода оборотов двигателя в скорость в км/ч при известных передаточных числах: (i включённой передачи) и (i главной пары) и размере покрышки
Скорость в км/ч = 0,377 * (радиус покрышки в метрах) * (обороты двигателя в оборотах в минуту) / (i включённой передачи * i главной пары)

Скорость = (угловая скорость) * (радиус)
Скорость в км/ч = (скорость в м/с) * (1000 м в 1 км) / 3600 секунд в 1 часе = т.е. скорость в м/с нужно разделить на 3,6
Перевод оборотов в минуту в уголовую скорость
1 оборот это 360 градусов это 2 Пи в радианах => 2 Пи * (обороты в минуту) = угловая скорость радиан в минуту => чтоб получить угловую скорость радиан в секунду, приходится радианы в минуту делить на 60 секунд в 1 минуте
Коэффициент 2 Пи / 60 дал бы нам скорость в м/с, но чтоб получить км/ч приходится ещё домножать на 3,6
Из этих (2 Пи / 60 х 3,6) и получается 0,377
Радиус покрышки в мертах при размере покрышки XXX / YY R ZZ
Радиус порышки м = ( половина посадочного диаметра диска ZZ / 2 * миллиметров в одном дюйме 25,4 + процент высоты боковины от ширины протектора 0, YY * XXX ) / 1000 миллиметров в метре
УТОЧНЕНИЕ Определение скорости автомобиля по тахометру для МКПП (сцепление не пробуксовывает); для АКПП (с заблокированным на 100% ГТР)
Как определить скорость по тахометру на 4 ступенчатой коробке
Как выбирать передачи.
Чтобы научиться правильно выбирать передачи Вам необходимо перестать передачи в коробке передач (кп) называть скоростями (км), так как эта ошибка в понятиях иногда осложняет понимание этого процесса.
Обычный вопрос начинающего водителя – как переключать скорости? звучит некорректно, потому что переключают передачи (кп), а не скорости (км).
Изучить все это в деталях и конечно потренироваться.
А сейчас, давайте разберемся подробнее.
Логика использования передач.
Итак, с понятиями передач (кп) и скорости (км) мы разобрались. Теперь, постараюсь объяснить простую последовательность выбора передач.
Все начинающие водители знают, что передачи выбираются в зависимости от скорости автомобиля. Логика проста (скорость > передача), но в этой последовательности не хватает главного. А как выбрать скорость?
Начинающие водители выбирают скорость, как их учили в школе согласно правилам и дорожным знакам, но лучше еще делать поправку на дорожную ситуацию и погодные условия. Потому что максимально разрешенная скорость не всегда будет безопасной для Вас и окружающих.
Поэтому, наилучшая логика выбора скорости и передачи это: Дорожная ситуация + погода > выбор безопасной скорости > выбор передачи.
Подробнее о выборе скорости в различных дорожных и погодных условиях вы сможете прочитать в других статьях на сайте.
Теперь, следует узнать и изучить скоростные диапазоны каждой передачи.
Скоростные диапазоны каждой передачи.
Минимальные и максимальные скорости движения на каждой передаче, как правило, указанны в инструкции по эксплуатации вашего автомобиля.
А сейчас, приведу усредненные значения скоростных диапазонов передач для автомобилей с бензиновым двигателем.
Тахометр — прибор, показывающий частоту вращения коленчатого вала двигателя в оборотах/мин.
При разгоне до максимальной скорости на каждой передаче лучше использовать тахометр для определения максимальных оборотов двигателя, чтобы не перекрутить обороты двигателя в красную зону шкалы. Не допускайте работу двигателя на высоких оборотах в красной зоне шкалы тахометра, это может привести к поломке двигателя и дорогому ремонту.
Удобно использовать тахометр для переключения передач.
1. Минимальная частота вращения двигателя 800-1000 об/мин. В таком режиме двигатель может работать только на холостом ходу (без нагрузки).
2. Начало движения с места на горизонтальном участке, происходит при низких частотах вращения коленчатого вала: 1 500-2 000 об/мин.
3. Оптимальный диапазон частот вращения коленчатого вала двигателя при разгоне для смены передач и движении на подъем — 3 000-3 500 об/мин.
Что использовать спидометр или тахометр.
Вы можете переключать передачи используя, как показания спидометра, так и показания тахометра. Вам только необходимо выбрать темп разгона, то есть минимальный, средний или максимальный в зависимости от дорожных и погодных условий.
Например, темп разгона и переключения передач по тахометру:
Минимальный 2000-2500 об/мин — используется при спокойном и экономном движении автомобиля на горизонтальных участках без подъемов, а также на заснеженной и обледенелой дороге.
Средний 3000-3500 об/мин — используется при движении в городе и загородом, также является минимальным разгоном автомобиля при движении на подъем.
Максимальный 4500- до желтой зоны об/мин – используется, как правило, при обгонах, разгонах на подъем на загруженной машине, и активном динамичном вождении.
Таким образом, Вы в зависимости от дорожной ситуации и погоды выбираете темп разгона и подстраиваетесь под общий темп движения потока. Обычно в сухую погоду темп меняется часто в зависимости от загруженности дороги, а в мокрую, заснеженную и морозную, как правило, темп движения равномерен.
В таблице рассмотрены моменты переключения передач для автомобилей с бензиновым двигателем, используя спидометр или тахометр на выбор.
Спидометр Спидометр Спидометр Разгон темп Минимум км/ч Средний км/ч Максимальный км/ч Тахометр обр/дв. 2000-2500 3000-3500 4500-до желтой зоны КП передача 1 передача 0 20 2 передача 30 40 3 передача 40 50 60 4 передача 60 70 80 5 передача 80 90 100
Приемы работы с кп.
Захват рычага коробки передач
Для его перемещения рекомендуется брать рычаг правой рукой закрытым хватом. При таком способе обеспечиваются быстрота и точность переключений. При этом, когда рычаг переводится на себя, пальцы тянут его, а ладонь контролирует его положение. При движении от себя ладонь давит на рукоятку, а пальцы контролируют положение рычага.
При переключении важно не прикладывать к рычагу большое усилие.
Не следует смотреть на рычаг переключения передач, взгляд должен быть направлен вперед, а левая рука должна находиться на рулевом колесе.
Очень важно выработать у обучаемого навыки управления рычагами и педалями и необходимую последовательность действий при работе ими.
Рычаг управления КП.
Управляется правой рукой. Основное положение рычага нейтральное. В зависимости от условий движения водитель выбирает передачи 1-2-3-4. Включение производится перемещением рычага, в соответствии со схемой указанной в инструкции по эксплуатации автомобиля.
Переключение передач производится только при нажатой педали сцепления. В противном случае возможна поломка КП. Переключают передачи спокойно без резких движений.
Для взаимодействия педалями сцепления, газа и рычагом переключения нужно отработать следующее упражнение при неработающем двигателе.
Упражнение 5. «Сцепление – Рычаг КП — Газ «
Переключать передачи по порядку вверх 1-2-3-4 и вниз 4-3-2-1.
При переключении с 1-й на 2-ю не обязательно переводить рычаг в нейтральное положение, достаточно перевести по прямой до конца назад.
Особенности при разгоне автомобиля.
В обычных дорожных условиях долго двигаться на первой передаче не следует, так как это вызывает неоправданный перерасход топлива. Поэтому после начала движения необходимо увеличивать скорость движения, и переключением передач переходить с низшей передачи на высшую.
При разгоне не следует затягивать движение на низших передачах. Скорость автомобиля на каждой передаче должна плавно увеличиваться до необходимых значений.
В дальнейшем, если позволяют условия и безопасность движения, автомобиль следует вести на высшей передаче. Однако в некоторых случаях рекомендуется использовать только первую передачу для движения в тяжелых дорожных условиях: по неровным дорогам, бездорожью, при движении на крутой подъем, то есть там, где необходима скорость движения до 20км/ч.
Водитель выбирает скорость в зависимости от условий движения, поэтому необходимо отработать переключение передач, как в восходящем, так и в нисходящем порядке.
Упражнение » Разгон автомобиля с переключением передач 1-2-3-4″
Начало движения автомобиля с места.
Регулировать скорость движения газом (80 км/ч).
Далее, уберите ногу с педали и поставьте ее на специальную подножку с лева от педали.
• отработать разгон автомобиля при переключении передач на короткой дистанции (25-30м);
• использовать первую передачу только для трогания автомобиля с места;
• при переключении передач действовать педалями сцепления и газа, как при трогании с места;
• плавно переключать передачи.
Не следует ездить на высших передачах при низкой частоте вращения коленчатого вала.
Очень важно научиться своевременно, переключать передачи на высшие и обратно.
Обращайте внимание на полное выключение сцепления при переключении передач, для чего педаль следует нажимать до упора.
При включении передач сцепление отпускается плавно. Необходимую передачу следует включать перед поворотом.
Переключение передач, с повышенной на пониженную.
1. Педалью тормоза снижаем скорость движения автомобиля до скоростного диапазона выбранной пониженной передачи.
2. При достижении автомобилем скоростного диапазона выбранной пониженной передачи, прекращаем торможение и нажимаем педаль сцепления.
3. Включаем выбранную передачу и нажимаем на педаль газа (1500-2000 об/мин).
4. Отпускаем педаль сцепления плавно до конца.
Если при движении на повышенных передачах вам приходится снижать скорость, например, в связи с изменением условий движения, то мощности двигателя будет не хватать, автомобиль начнет двигаться рывками, а его скорость будет быстро падать.
В этом случае надо переходить на пониженную передачу. Каждая передача имеет свой нижний предел скорости, при достижении которого надо переходить с этой передачи на более низкую.
Выбирать передачу необходимо исходя их конкретных условий движения автомобиля.
Вторая и третья передачи используются при сравнительно медленном движении по городским улицам и переулкам, на более пологих подъемах, кроме того, на эти передачи переходят (переключаются) при маневрах, которые невозможны на высокой скорости: повороты, въезды на прилегающие территории и др.
Четвертая передача предназначена для движения с достаточно высокой скоростью по свободным улицам, проспектам, загородным дорогам с незначительными подъемами.
Пятую передачу рекомендуется включать только на загородных скоростных трассах: она не обеспечит вашему автомобилю более высокой скорости, чем четвертая передача, но позволит ехать быстро в более экономичном режиме, расходуя меньше топлива.
Рекомендации при движении на спуске и подъеме
1. При движении на подъем необходимо учитывать загрузку автомобиля и уклон дороги.
2. При движении на подъем, когда на автомобиль действуют дополнительные силы сопротивления, для переключения передач надо выбирать верхний предел указанного диапазона скоростей. На спусках, наоборот, выбирайте нижний предел.
3. Появившиеся толчки и рывки в трансмиссии указывают на необходимость перехода на пониженную передачу.
В остальных случаях позднее переключение передачи ведет к перегрузке двигателя.
Еще я прислушиваюсь к рёву двигателя. Если при нажатии на педаль газа двигатель сильно ревёт, то значит идёт надрыв и надо переключить передачу на следующую. По какому принципу вообще надо переключать скорости?
Нет никаких правил про переключение передач по скорости. Автомобили абсолютно разные, и коробки тоже разные, и соответственно передаточные числа тоже разные. Идеальный вариант ориентироваться на тахометр (обороты двигателя), если бензиновый двигатель, то переключение передач вполне нормально на оборотах 3000 об/мин, если двигатель дизельный, то 2000 об/мин. Тахометр спроектирован так, что на 12 часов, у него стоит уровень оптимальных оборотов двигателя, у кого-то 3500, у других может быть и 5000 об/мин. Как-то так! А ориентироваться на скорость совсем не стоит.
Вы не пишете, что за машина у вас. Но для легковой машины не очень характерно такое вождение.
45 км/ч — маловата скорость для 4-й передачи. Дело в том что производительность масляного насоса создающего под давлением защитную плёнку на подшипниках скольжения коленвала и распредвала напрямую зависит от оборотов двигателя. При такой скорости на 4-й передаче обороты двигателя составят 1-1.5 тыс.об.мин, этого маловато чтобы компенсировать возросшую нагрузку давлением масла.
Кроме того максимальная мощность двигателя реализуется обычно в диапазоне 2-4 тыс.об.мин. Это значит что он рассчитан на работу в этих параметрах для сохранения ресурса и минимального расхода топлива. Процессы горения топлива, подача масла и охлаждающей жидкости, работа электрогенератора находятся в оптимальном режиме. Бензиновый двигатель не любит работать «внатяг» (под нагрузкой на пониженных оборотах).
Если ехать под знаком «50» со скоростью 45км/ч, то лучше это делать на 3-й передаче. И на ней же набирать 60-70 для перехода на 4-ю передачу.
Впрочем если у вас дизель, а не бензиновый мотор могут быть варианты.
По правилам так:
1-я передача – от 0 до 15 км/час;
2-я передача – от 15 до 30 км/час;
3-я передача – от 30 до 45 км/час;
4-я передача — от 45 км/час;
Но если внимательно слушать машину, то она сама подскажет, когда переключиться на другую скорость,такой опыт приходит лишь со временем.
Я противник мнения что по схеме скорости движения соответствует та или иная передача.
(нет такой универсальной схемы).
Такие схемы скорей всего придуманы после войны 41-45г и подходят для военных машин при движение в колоннах на марше.
«Перекручивать» так и «недокручивать» мотор вредно.
Это я об оборотах.
Например на наших ВАЗах (Лада), там где тахометр (полезно доля начинающих),
это от 1,9 до 2,5 тыс., но зависит также от «приемистости» мотора.
К, примеру на моей Калине с 8кл. мотором 1,6 можно было (всегда дорогое масло и отличное топливо) бывает тронулся с первой, а потом на 4 или 5 и плавно педаль газа и далее спокойно набирается скорость движения безо всякой дерготни (пробовал повторить на других тазах — такого эффекта не получилось).
Еду по трассе М7 небыстро (где-то 110-120 2-3 пассажира), стационарный пост, знаки 70-50. у поста чуть ли 5 км/ч, если проскочишь нарушая через 2км ещё стоят (всегда).
Как на 5 передаче ехал так и проезжаю (3000 . 1200 . 3000), только педаль газа. Один спросил как-то, что за коробка у меня, я по приколу ответил что роботизированная типа автомата.
А так если серьезно, на некоторых иномарках выглядит иначе (бумер, ауди).
У бензиновых атмосферников это одно, у турбированных дизелей другое и т.д.
У кого нет шумоизоляции в салоне (большинство отечественных машин) переключаться можно по звуку мотора.
Обороты высокие для малой скорости вредны, также как и ездить с задушенным мотором (плестись на высокой передаче).
А вообще всё это канет в лету скоро.
На путных машинешках давно ставят автоматы и вариаторы.
Многие пишут, что уже начиная с 45 км/ч нужно переключать на 4 передачу. Для именно четвертой это слишком рано. С первой на вторую переключение идет практически сразу же. Первая передача создана для того, чтобы стронуться с места и начать движение. Так что с первой сразу же на вторую, при условии, что вы не стоите в пробке. До 15 км/ч на вторую переключать не целесообразно. А вообще тут правильно сказали (написали), что у всех двигателей передаточное число разное, для одних переключение может происходить на 3000 оборотах (всегда лучше ориентироваться по тахометру), у других 2500 оборотах. Как понять, если тахометр не работает )). Двигатель машины начинает «гудеть». Вот как только это происходит так нужно переключать передачу. Для третьей скорости оптимальней всего переключаться начиная с 40 км/ч (а то и побольше), а вот четвертую скорость включают после 60, пятую соответственно после 80 км/ч. Говорю о механике, автомат сам все делает, тут задумываться не следует.
Но есть одно «но». Не рекомендуется передерживать обороты при переключении скорости. Если вы будете на второй скорости выжимать 80 км/ч (хотя сильно в этом сомневаюсь, что это получится), стрелка тахометра будет находится в красной зоне — вот это вредно для самого двигателя. Насилование двигателя на пользу машине не идет.

если спидометр не работает, сейчас много скростных ограничений и высокие штрафы, может кто таблицу сделал.
все равно что линейкой круг рисовать 🙂
зависит от авто, обьема двиги и передачи.
разные авто на одних и тех же оборотах по разному ездят =) лучше ориентируйся по потоку авто, не будь быстрее потока и все.
по радару гаишному ориентируйся 🙂 не забыв на кружок с цифрой глянуть да этого
если не остановят значит скорость меньше цифры в кружке:)
надо такие собирать для коллекции)) а ничего что тахометр показывает обороты двигателя и на разных передачах КПП это соотвествует разным скоростям ))))
но одно я могу сказать точно
при езде по трассе (дорога прямая, без уклонов) на 4-й передаче при 2000 об/мин я имею где-то 90-100 км/ч
у меня около 80 кэмэ
от объема движка зависит
у меня на 1,5л варике также 90-100 на 2000об/мин
так у меня 1,8 АКПП на 2000 оборотах 80 держит. ппц мля:)
а у меня до 2000-2500 оборотов
в тех же условиях до 130-140 разгоняюсь))
2500 у меня это где то 110-120 км/ч
хотя нет, про 120 скорее всего вру. все это судя по спидометру, а по хорошему надо бы и учитывать нештатные колеса.
з.ы. коробка пятиступка наверное.
лучшеб спидометр сделал, тросик замени. по оборотам не измерить скорость.
если спидометр механический
то может не тоолько из-за тросика, но и зубчиков в А(М)КПП. короче в коробке. а там геморр полный.
Тебе только помогут водятлы на УАЗах, которые всю свою жизнь ездят либо без спидометра, либо на скачущей стрелке от 0 до 40 на каждой кочке
Устранение некоторых неисправностей в АКПП с частичным или полным снятием её с двигателя автомобиля
Пределы автоматического переключения
При движении на автомобиле на повышающей передаче (ПП) по ровной дороге, соответствие скорости автомобиля и оборотов двигателя следующее:
Различные испытания автоматической коробки передач
Перечень неисправностей в АКПП, связанных с работой гидротрансформатора (ГТ)
Перечень неисправностей в АКПП, связанных с частичным или полным выходом из строя блока электронного переключения скоростей
Неисправности в АКПП, вызванные неправильной эксплуатацией автомобиля
Приветствую читателей моего блога! Помните свои первые поездки за рулем автомобиля? Может рядом сидел отец, а может быть инструктор автошколы. Одна из самых больших сложностей, с которыми приходится столкнуться начинающему водителю — это переключение скоростей. Ведь в это время нужно еще не терять контакт с дорогой и окружающей обстановкой. Тронуть машину с места для многих становится трудно разрешаемой задачей. Как правильно переключать передачи на механике во время движения — это то, о чем я хочу поговорить с Вами на страницах сегодняшнего обзора.
О механике и автоматах
Несмотря на то, что автоматические коробки передач перестали быть диковинкой для наших сограждан, традиционная механика по-прежнему популярна и распространена. Чтобы не пришлось тратиться на новую коробку передач, важно понять основные правила и приемы плавного переключения скоростей.
Механика предназначена для плавного и равномерного распределения крутящего момента, которое вырабатывает двигатель. Ручная коробка, которую принято называть механической, обычно включает в себя от 4 до 6 различных передач, но чаще всего на современных автомобилях их 5. Это не считая задней скорости, которая еще называется реверсом. Именно сцепление является связующим элементом между двигателем и коробкой. В зацеплении с коленчатым валом, который постоянно вращается, находится первичный вал КПП. Именно сцепление позволяет без рывков разъединять эти узлы и соединять снова.
Скоростные диапазоны движения
Начнем по порядку. Самым первым правилом, которое Вы должны запомнить: при переходе на другую передачу обязательно сначала идет выжим сцепления. Педаль отпускается уже после того, как включена нужная скорость. Новичкам трудно бывает сориентироваться, и во время переключения они теряют контроль за транспортным средством.
Для того, чтобы вовремя менять передачи, сделать движение автомобиля более динамичным и экономичным, была разработана шкала так называемого скоростного диапазона. Итак существует следующая градация, которая подсказывает, когда и на какой скорости мы переводим рычаг КПП в следующее положение.
На фото приведены значения для наиболее интенсивного разгона. Для размеренного движения значения приведены ниже (это ориентировочные значения, конкретные цифры зависят от передаточного числа трансмиссии Вашего автомобиля):
- 1‑я передача, режим движения от 0 до 20 км/час;
- 2‑я, 20–40 км/час;
- 3‑я, 40–60 км/час;
- 4‑я, 60–80 км/час;
- 5‑я, свыше 80 км/час.
Однако указанные скоростные ограничения применимы к автомобилям без транспортируемых грузов и при движении на дорогах с обычным дорожным покрытием. Если Вы движетесь по бездорожью или автомобиль дополнительно нагружен, то переключать скорости нужно немного позднее, давая машине возможность хорошего разгона. Особенно это касается ситуаций, когда приходиться взбираться на крутой подъем.
Основные ошибки новичков — чего следует избегать
Есть и другие рекомендации, позволяющие понять, для чего предназначена та или иная передача в механической КПП. Первая необходима нам для того, чтобы машина тронулась с места, вторая для разгона, третья скорость для совершения обгонов. Четвертая и пятая используются соответственно для передвижений по городским дорогам и загородным автомагистралям.
У начинающих водителей встречаются одни и те же типичные ошибки. Они не могут понять на слух, что пришло время сменить передачу. Из-за этого мотор работает на чересчур высоких оборотах, автомобиль теряет скорость, утрачивается контроль за движением. Нередко новички не могут тронуться с места, из-за того, что слишком резко бросают педаль сцепления. Как следствие, машина дергается, глохнет. Это приводит к ускоренном износу некоторых узлов трансмиссии и сцепления. Начинающие нередко запаздывают с включением второй скорости. Они трогают автомобиль с места, а потом разгоняют его, вынуждая мотор надсадно реветь. В то же время, достаточно быстро можно перейти с 1‑й передачи на 2‑ю практически сразу после трогания.
Опытные инструкторы всегда учат новичков убирать ногу с педали сцепления сразу после того, как педаль отпускается. Во-первых, в этом случае сцепление быстрее изнашивается. Во-вторых, нога устает намного больше. В то же время, положение ноги на полу дает водителю дополнительную точку опоры и не так нагружает позвоночник. Начинающие зачастую грешат тем, что при смене режимов движения левая рука непроизвольно поворачивает руль, особенно, если находится в неправильной его части.
Как переключаться и слушать двигатель
Итак, как же правильно переключать передачи. Алгоритм выполнения сводится к следующим действиям. Важно лишь правильно понять и запомнить их последовательность:
- Резким движением ноги выжимаем до конца педаль сцепления. Газ при этом отпускаем.
- Быстро на плавно переводим рычаг нашей МКПП в необходимую позицию, обязательно через нейтральное положение.
- Плавно убираем ногу с педали сцепления, а газ наоборот прибавляем, чтобы компенсировать потерю скорости транспортным средством.
- Еще больше добавляем газ и увеличиваем скорость движения.
Важно уметь слушать свою коробку передач и обороты двигателя. На первых порах на помощь придет тахометр с его показаниями. Для бензиновых моторов нормальными являются обороты в районе 2000–3000 об/минуту. Если это значение больше, значит пришла пора включить следующую скорость. Для дизельных силовых агрегатов тот же показатель несколько ниже — порядка 1500–2500 оборотов. Со временем Вы приобретете навык определять этот момент на слух.
Чтобы научиться своевременно включать нужные скорости, друзья, требуется практика и еще раз практика. Надеюсь, что Вам также помогут приведенные здесь рекомендации бывалых автомобилистов. Читайте мой блог в ближайшие дни — будут публиковаться новые полезные и интересные материалы. На сегодня прощаюсь!
как определить скорость движения автомобиля по тахометру
Как определить скорость движения автомобиля по тахометру

все равно что линейкой круг рисовать ��
зависит от авто, обьема двиги и передачи.
разные авто на одних и тех же оборотах по разному ездят =) лучше ориентируйся по потоку авто, не будь быстрее потока и все.
по радару гаишному ориентируйся �� не забыв на кружок с цифрой глянуть да этого
если не остановят значит скорость меньше цифры в кружке:)
надо такие собирать для коллекции)) а ничего что тахометр показывает обороты двигателя и на разных передачах КПП это соотвествует разным скоростям ))))
но одно я могу сказать точно
при езде по трассе (дорога прямая, без уклонов) на 4-й передаче при 2000 об/мин я имею где-то 90-100 км/ч
у меня около 80 кэмэ
от объема движка зависит
у меня на 1,5л варике также 90-100 на 2000об/мин
так у меня 1,8 АКПП на 2000 оборотах 80 держит. ппц мля:)
а у меня до 2000-2500 оборотов
в тех же условиях до 130-140 разгоняюсь))
2500 у меня это где то 110-120 км/ч
хотя нет, про 120 скорее всего вру. все это судя по спидометру, а по хорошему надо бы и учитывать нештатные колеса.
з.ы. коробка пятиступка наверное.
лучшеб спидометр сделал, тросик замени. по оборотам не измерить скорость.
если спидометр механический
то может не тоолько из-за тросика, но и зубчиков в А(М)КПП. короче в коробке. а там геморр полный.
Тебе только помогут водятлы на УАЗах, которые всю свою жизнь ездят либо без спидометра, либо на скачущей стрелке от 0 до 40 на каждой кочке
Давно уже стоят электронные одометры.
если всех обгоняешь и на тебя смотрят как на придурка то надо сбросить скорость
можно имхо если знаешь примерно на сколких оборотах переключения идут это на АКПП
например на тойотах переключение идет от 2000-2300 оборотов.3 скорость примерно до 60 км час обороты чуть ниже 2000.
ух ты повезло, хоть тахометр работает.
у меня на 41-м тросик спидометра оторвало с коробки около года назад.Тахометр в коме уже второй год. Езжу по ощущениям. Но когда сажусь на Газель, там благо все работает, то ловлю себя на мысли, что частенько превышаю скорость на своем крокодиле.
На разных машинах разные ощущения скорости.
УАЗ например, под 60км уже улетать собирается. От габаритов, обзорности, стекол, ходовой, наглядная скорость может быть обманчива
Эксперты ГКСЭ раскрыли секрет, как они определяют скорость в момент ДТП
Некуда спешить
«Почти всегда после аварии встает вопрос о скоростном режиме»
По некоторым подсчетам, ежегодно в результате ДТП во всем мире гибнут 1,3 миллиона человек. То есть один человек каждые 24 секунды. Казалось бы, пандемия должна была положительно повлиять на дорожную статистику, ведь многие перешли на удаленную работу и учебу. По данным ВОЗ, с начала 2020 года загруженность на дорогах действительно снизилась. Это привело к уменьшению числа аварий. Однако количество летальных исходов в пропорциональном отношении не уменьшилось. По пустым дорогам люди стали ездить быстрее.
— Почти всегда после аварии встает вопрос о скоростном режиме. Насколько быстро ехали водители и могли ли они предотвратить ДТП? Классическая ситуация: автомобиль при повороте налево сталкивается с движущимся с превышением скорости прямо мотоциклом, — рассказывает начальник отдела автотехнических экспертиз центрального аппарата ГКСЭ подполковник юстиции Алексей Жуган. — В правилах черным по белому прописано, что при повороте налево водитель обязан уступить дорогу транспортным средствам во встречном направлении. Есть много «но». Как далеко должен смотреть водитель поворачивающего налево автомобиля, должен ли он предполагать, что между стоящими транспортными средствами станет проезжать мотоцикл, мог ли заметить движущийся на большой скорости мотоцикл? Наша задача — дать экспертную оценку действиям каждого участника происшествия.
Алексей Жуган — о том, как определяют скорость:
— Основной источник — следовая информация на месте ДТП. Однако ее может и не быть. Тогда используются видеозаписи как со стационарных камер видеонаблюдения, так и с видеорегистраторов в салоне. Чем больше относящейся к происшествию информации зафиксировано, тем точнее получится установить скоростной режим. При этом можно учесть и степень повреждения каждого из участников.
Основная масса автотехнических экспертиз назначается по легковым машинам.
Мало кто из водителей знает, что в арсенале судебных экспертов есть специальный программный комплекс, который помогает определить скорость по электронным блокам управления авто. В них аккумулируется такая важная для понимания всех обстоятельств аварии информация, как количество человек в салоне, их расположение, скорость.
— Как правило, в электронных блоках фиксируется скоростной режим движения за пять секунд до столкновения и две секунды после него, содержится информация о положении педалей газа и тормоза. Случается, водитель утверждает, что тормозил, а мы видим, что было по-другому.
Для ДТП пять секунд — это очень большое время, его хватает, чтобы аварию предотвратить. При расчете остановочного пути в экспертной практике применяется минимальное время реакции водителя — 0,6 секунды.
— Из недавних неординарных дел есть еще один пример. В ноябре прошлого года Toyota на высокой скорости выехала на площадь Победы в центре Минска, налетев на ступени монумента, загорелась и перевернулась, — подключается к разговору государственный судебный эксперт отдела автотехнических экспертиз центрального аппарата ГКСЭ Константин Савицкий, приводя резонансный пример. — Машина сильно выгорела, но блоки управления уцелели. Из них мы смогли извлечь все интересующие правоохранителей сведения. Оказалось, что скорость превышала разрешенную на данном участке почти в два раза и была более 130 км/ч. Причем водитель даже не пытался тормозить. Скоростной режим автомобиля мы получили, прочитав информацию в блоках управления. И подтвердили данные, исследовав предоставленные видеозаписи с места происшествия.
Кстати, по данным ГАИ, водителя Toyota штрафовали более 40 раз и даже лишали права управления за вождение в пьяном виде.
В арсенале судебных экспертов есть специальный программный комплекс, который помогает определить скорость по электронным блокам управления авто.
Да вы гоните!
Те самые электронные блоки есть почти во всех современных автомобилях.
— Допустим, водитель попал в ДТП, будучи пьяным или не имея права управления. Инспекторам ГАИ говорит, что за рулем был не он… — моделирую ситуацию.
— С помощью нашего прибора мы можем определить, сколько именно человек находилось в салоне и на каких местах они сидели. Поэтому если водитель ехал один, то такая уловка точно не пройдет, — объяснил Константин Савицкий.
Рассмотрим другую ситуацию, которую мы наблюдаем чаще. В салоне было несколько человек, некоторые погибли. Пытаясь уйти от ответственности, выживший водитель говорит, что за рулем сидел кто-то из погибших. В таких случаях назначается комплексная судебная экспертиза с привлечением судебных экспертов-автотехников и судебно-медицинских экспертов, чтобы определить, кто именно управлял автомобилем.
…В основном автотехнические экспертизы проводятся по легковым машинам. Хотя бывают и по грузовикам, маршруткам, троллейбусам. В летний сезон к этому списку добавляются мотоциклы.
Техника ГКСЭ позволяет при установлении обстоятельств аварии определить, сколько именно человек находилось в салоне и на каких местах они сидели.
Опираясь на личный опыт работы на местах аварий, Алексей Жуган объясняет, что риск летального исхода в случае столкновения автомобиля может быть и при скорости 60 км/ч. Бывали случаи сильного травмирования и даже гибели при резком торможении на сравнительно небольших скоростях. Например, при перевозке груза. Резкое нажатие на тормоз — и груз по инерции перемещается вперед и травмирует людей в салоне…
Разговор заходит о ночных заездах столь нелюбимых минчанами стритрейсеров. Нередко такие погони за адреналином заканчиваются авариями. Недавно эксперты ГКСЭ проводили автотехническую экспертизу по одному «интересному ДТП». У страховой компании возникли к владельцу вопросы. Оказалось, любитель гонять по городу с характерным отстрелом для более эффективного разгона отключил часть систем безопасности. Это стало причиной потери курсовой устойчивости и, как следствие, привело к аварии. Эксперты также установили, что перед столкновением водитель значительно превысил скорость.
Напоследок Алексей Жуган дал читателям пару цифр для размышления:
— Тормозной путь автомобиля, который едет со скоростью 60 км/ч, на сухом асфальте составляет около 25 метров, со скоростью 90 км/ч — 53 метра, то есть в два раза больше. И это без учета времени реакции водителя. Если скорость 150 км/ч, то тормозной путь составит 139 метров.
Тахометр: что это такое, виды, что измеряет, принцип работы и устройство, для чего нужен
Автомобильный тахометр — это специальное измерительное устройство, позволяющее установить частоту вращения подвижных деталей в механизмах автомобиля. В основе принципа измерения лежит вычисление количества оборотов, которые совершает коленчатый вал двигателя внутреннего сгорания за одну минуту.
Работа электронного прибора возможна на всех видах транспорта. Приборы устанавливают для измерения скорости на железнодорожном транспорте, тракторах, комбайнах, обычных машинах, морских кораблях и самолётах – различной технике, оснащённой двигателем внутреннего сгорания.
В статье простым языком расскажу про тахометр, что это такое, что измеряет, какие виды существуют, как работает и из чего состоит, как правильно пользоваться прибором. Обещаю, будет интересно!
Что такое тахометр
Что это такое в машине? Тахометр – особый измерительный прибор, предназначенный для определения частоты вращения разных элементов. Находится этот индикатор на панели приборов рядом со спидометром.
Изобрёл тахометр американский инженер Кертис Виддер в 1903 году, после того, как изобрел циклометр – прибор для считывания пробега велосипеда. У него даже был свой лозунг: «Приятно знать, насколько далеко ты проехал». Кстати, похожее устройство описывал в 23 г. до н.э. историк Витрувий. А похожее устройство для измерения расстояния придумал китайский учёный Жан Чен две тысячи лет назад.
Что измеряет этот нужный прибор? Устройство позволяет определить количество совершаемых прокручиваний за единицу времени. Полученный результат зависит от интенсивности вращения роторов, вала, диска в разных машинах, механизмах и агрегатах. Сразу понять, что делает, как выглядит, где находится и что показывает прибор – затруднительно.
Интересно знать! Что значит тахометр? При дословном переводе с греческого языка τάχος (скорость) и μέτρον (мера). Скорее всего, так и было получено современное название – тахометр, прибор для измерения скорости.
Кроме датчика скорости вращения, тахометр может сообщаться со специальным индикатором. Следовательно, устройство состоит из двух частей, связанных друг с другом электрической связью. Чаще всего принцип работы прибора основан на измерении скорости вращения коленчатого вала двигателя внутреннего сгорания (ДВС). Сам индикатор устройства находится на основной панели управления приборами, возле водительского сидения, рядом со спидометром.
В чем производит замер тахометр? Для легкового автомобиля измерение частоты вращения происходит в тысячах оборотов в минуту. В других транспортных средствах значения тахометра могут быть во времени (час, мин., сёк.), расстоянии (км, м, см), скорости (км/ч, м/с) и единицах.
Постараемся понять, зачем нужен тахометр в автомобиле. Он помогает быстро выбрать необходимую скорость (передачу). Если стрелка прибора на панели управления приближается к зоне, окрашенной красным цветом, следует переключиться на следующую передачу. В норме показатели должны быть в зелёной области – от 2000 до 3000 об/мин., превышение свыше 5000 об/мин., опасно для всех деталей авто. Такая мощность рассматривается допустимой на гоночных моделях.
Тахометр оборотов двигателя применяется для работ по настройке на холостом ходу. Какие обороты показывает тахометр? При пуске мотора обороты должны составлять около 800 в минуту. При пустом пуске они должны быть выше, могут достигать 1500 об/мин. Если есть перегрев ДВС наблюдается снижение числа оборотов до номинальных. Тестирование позволяет установить проблемы, если летом машина стоит и не двигается, а вращение достигает 1000. В случае, когда регулятор холостого хода работает неправильно, вероятен чрезмерный расход горючего. Показатели в ходе испытаний должны быть постоянной величиной, допустимы колебания в пределах 100 единиц.
Что измеряет тахометр в машине
Назначение прибора позволяет использовать ресурсы двигателя авто без последствий – вот для чего применяется устройство. Тахометр очень помогает уменьшить износ деталей мотора. Каждый двигатель имеет персональные технические характеристики, от которых зависит его конечная производительность. Эти параметры зависят от наибольшего допустимого крутящего момента и предельной мощности с поправкой на число оборотов. Тахометр это прибор для измерения перечисленных параметров.
Таким образом, главная функция – это сообщение водителю данных, на основании которых можно проконтролировать число вращений и своевременно изменить используемую передачу (пониженную или повышенную). Это применимо к автомобилям с механической коробкой передач.
Приведу примеры полезности тахометра:
Самый оптимальный показатель для двигателя: от 1/3 до ¾ оборотов от максимальной мощности. А этот показатель можно прочитать в технической документации вашей марки автомобиля.
Всего существует 3 зоны работы тахометра: зелёная, жёлтая и красная. Если показатель вращения находится в зелёной зоне, то авто будет иметь слабую динамику. Если показатель будет находится между зелёной и красной зоной, то мотор будет потреблять больше горючего, но зато мощность будет максимальна.
Внимание! Если понять, как работает тахометр в автомобиле, можно повысить его продуктивность. Численные показатели, отображаемые на дисплее, помогают владельцу добиться лучшего разгона машины и тягового усилия при минимальном расходе горючего топлива.
Общий принцип работы прибора – прост. Он заключается в регистрации количества импульсов, поступающих от определённых датчиков. Подобные показатели трансформируются посредством специальных механизмов в отдельные величины. При этом тахометр двигателя имеет лишь относительную точность. У старых приборов она условна, достигает 500 об/мин. Электронные устройства считывают данные с меньшей погрешностью. Постоянное снижение мощности вращения приводит к повышению расхода топлива и износу деталей ДВС.
Интересно, что дизельные моторы имеют меньший диапазон вращений. К примеру, зелёная зона для правильного переключения передач начинается от 1500 и достигает 4000 об./мин. А для больших грузовых автомобилей этот показатель ещё меньше – от 1500 до 2500 оборотов. Поэтому лучше всего осуществлять переключение передачи в зелёной зоне, чтобы уменьшить расход топлива и увеличить срок службы ДВС.
Дополнительно тахометр применяют для регулировочных ремонтов на холостом ходу. Отмечу, что при запуске двигателя обороты не должны превышать 900 об./мин. А если пуск осуществлён на холодную, то показатель может достигать 1500 оборотов. Если же обороты выше 1000 оборотов, а автомобиль стоит на месте, то это может обозначать поломку в регуляторе холостого хода, что приведёт к существенному расходу бензина. На холостом ходу значения должны быть постоянными без колебаний от 500 до 1500 оборотов в минуту!
Виды тахометров
В современной классификации принято деление устройств по методологии отображения данных и использованному способу монтажа. Относительно последней классификации, тахометры бывают штатными (встроенными) и выносными (бесконтактными). Последние часто применяют на спортивных машинах для повышения точности получаемой информации и тщательной коррекции числа оборотов. Такие приборы показывают и иногда подают сигнал о достижении отдельных показателей.
Механический
Такие приборы давно морально устарели. Их использовали в 20-м веке из-за отсутствия альтернативных вариантов.
Связь между устройствами обеспечивалась за счёт коленвала двигателя и проходила напрямую через тросик.
Суть устройства заключалась в том, что шестерёнка, помещённая на коленчатом валу и приводной трос, передающий на катушку крутящий момент, сцеплялись между собой. Такие тахометры часто устанавливаются на низкооборотистые моторы.
Катушка представлена в виде электромагнита устройства, обеспечивающего возникновение магнитной индукции. За счёт её работы обеспечивается отклонение стрелки прибора и получение информации о работоспособности элементов. С течением лет, по мере технического прогресса устройства перестали применяться в автомобилестроении из-за достаточной погрешности, способной достигать 500 об/мин.
Аналоговый
По мере развития технологий были изобретены и созданы устройства нового типа, с изменённым механизмом действия. Принцип их работы похож на механические устройства, но определённые различия имеются. Отображается значения оборотов при помощи движения стрелки по циферблату. Этими тахометрами оснащены машины, возраст которых не превышает 20 лет.
Аналоговый прибор считывает обороты при помощи подачи энергии на катушку зажигания, а она переводит низкое напряжение в высокое. Такие условия при передаче импульсного тока обеспечивают образование искры на свече зажигания. Сам импульс мгновенно попадает на обмотку электромагнита и электрическую схему устройства. Сила индукции и отклонение стрелки на приборной панели зависит от массы импульсов, поступающих на обмотку.
Говоря простым языком, сигнал поступает от коленвала на микросхему, которая и двигает стрелку на циферблате тахометра.
Именно такой тип тахометра устанавливается на большинство автомобилей (он дешевле и немного надёжнее электронных устройств). Да и пользоваться таким типом очень удобно, да точность во время движения не особо важна. Как правило, точность аналоговых тахометров составляет около 400-500 об./мин., но они работают стабильнее механических и показывают более реальные значения.
Теперь понятно, откуда считывает обороты прибор, но нельзя игнорировать погрешность. Аналоговый тахометр занижает значения и отображает реальные показания только при высоких оборотах колеса.
Цифровой
Постепенно, но уверенно цифровые модели замещают аналоговые устройства. В принципе их работы лежит измерение, основанное на подсчёте числа импульсов на первичной обмотке катушки зажигания. Есть и другой вариант – идёт подсчёт интервала времени и его сопоставление с отдельными импульсами.
Полученная посредством подобных действий информация переводится в цифры и отображается на табло тахометра со спидометром (или без него). Лучшие модели могут измерять значения с точностью до 100-150 оборотов в минуту.
Внимание! Такой прогрессивный метод получения и обработки информации не удобен для взгляда водителя. Цифровать получаемые данные проще не в цифрах, а на шкале со стрелками. Поэтому вместе с электронными показателями отображается в виде электронный градуированный шкалы со стрелкой.
По надёжности цифровой тахометр ни в чём не уступает аналоговому устройству.
Устройство и принцип работы тахометра
Устройство тахометров разного строения рассмотрено в таблице «Как устроен тахометр разного типа». Если таблица видна не полностью, то сдвиньте её влево.
| Вид | Конструкция |
|---|---|
| Механический | Основной частью является тросик, используя который, прибор подсоединяется к коленчатому валу двигателя. Другая сторона компонента цепи располагается за шкалой прибора. В процессе вращения центральный шкив оборачивается внутри кожуха, а крутящий момент передаётся на шестерёнки, провоцирующие движение стрелки. |
| Аналоговый | Визуальных различий между механическими и аналоговыми устройствами нет. Внешне эти приборы выглядят одинаково, но устройство второго – сложнее и это позволяет повысить точность. Сам прибор состоит из 4 узлов: датчик, магнитная катушка, стрелка, шкала. |
| Цифровой | Электронный – точный при сравнении с другими вариантами. Он состоит из оптрона, процессора, датчика и цифрового дисплея. |
Интересно! Какой датчик отвечает за тахометр? Это датчик коленвала и холостого хода, а также электронный блок управления.
Работоспособность приборов обеспечивается по такой схеме:
Простыми словами: датчик коленвала считывает его обороты и передаёт эти данные на блок управления, который подаёт сигнал на тахометр.
Точность устройств различная и зависит от вида используемых датчиков. Визуально все они схожи, основные отличия состоят в способе подключения и обработки данных.
Видео: Как работает тахометр
В этом видеоролике эксперт рассказывает про ринцип работы тахометра, почему он в некоторых случаях может работать без напряжения в бортовой сети, и в каких случаях он этого делать не может.
Как правильно пользоваться тахометром
Не все знают, что означают цифры на тахометре. Они особенно важны для водителя, заботящегося о моторе своей машины зимой. Данные показывают готовность двигателя к полноценной работе. Это важно, потому что некоторые современные и советские машины плохо переносят старт без разогрева. Как правило, водители ждут, пока температура антифриза будет оптимальной, и после этого начинают движение.
С тахометром контролировать оптимальный момент для начала движения гораздо проще. Начинать движение можно, когда стрелка на приборе достигает 750-800 оборотов при холостом пуске (в некоторых марках авто этот показатель может быть и выше). В этот момент двигатель уже прогрет, а топлива для этого затрачено минимально.
Для оптимального разгона надо придерживаться следующего алгоритма:
Чтобы очень быстро разогнать автомобиль, надо достичь высокого показателя оборотов (5000—5500) на 3 или 4 передаче. Но здесь резко повысится потребление топлива и увеличится износ мотора. Конечно, можно и разогнаться и на холостых оборотах, но износ мотора здесь будет очень сильный.
Если внимательно следить за оборотами и вовремя переключать передачи, то вся мощность мотора будет задействована, но не стоит забывать, что при максимальных ускорениях увеличится расход горючего. Поэтому, чтобы существенно сэкономить на топливе, надо держать обороты ниже максимальных по мощности. Но если часто и сильно снижать обороты, то это может привести не только к повышению расхода топлива, но и снижению ресурса ДВС.
Используют показания устройства и на ходу. По отображённым данным оценивают возможность перехода на следующую передачу и способность безопасного снижения оборотов на определённом участке пути. Для максимального разгона надо набрать наибольшее число вращений. Авто разгонится быстро, но топлива уйдёт много.
Внимание! Информативную ценность прибор представляет для ремонтников. Без него сложно провести диагностические испытания.
Можно ли определить скорость движения с помощью тахометра
Значения прибора могут отображаться в разных величинах. Конкретные параметры должны быть обозначены в техническом паспорте устройства. Измерение происходят в единицах расстояния и скорости. Следовательно, определить точную скорость движения можно, если прибор имеет две шкалы исчисления путём определённых расчётов.
Как правильно выбрать тахометр
Существуют приборы, различные по строению. Каждый из них имеет свои преимущества и недостатки. Наихудшим вариантом является механический прибор из-за погрешности в вычислениях. Она достигает 500 об/мин. В современном автомобилестроении модель не применяется. Ещё одним недостатком является быстрый износ троса и шестерёнок, их замену обеспечить не просто.
Погрешность аналоговых устройств сходна с первым вариантом, но они отражают более стабильные показатели. Для использования тахометра его надо правильно присоединить к электрической схеме. Чаще всего дисплей располагается на контрольной приборной панели. В отдельных моделях авто места под него нет, тогда датчик размещают у бокового стекла.
Самые точные показатели дают электронные модели, работающие за счёт определённых сигналов, передаваемых по цепи от датчиков. Единственный их недостаток, по мнению водителей – низкое визуальное восприятие. Главный дисплей представлен не циферблатом, а электронным дисплеем.
Если в автомобиле есть встроенный прибор, но когда он выйдет из строя, покупать нужно такой же. Допустимо искать замену, но предварительно придётся удостовериться в возможности настройки нормального сообщения между тахометром и датчиками. Иногда устройство просто не будет работать (даже если оно село в рабочую панель «как влитое»). Связано это с тем, что заводские опции могут отличаться, соответственно считывающий механизм не сработает.
Если подобрать сторонний измерительный агрегат, его придётся дополнительно подгонять под показатели конкретного ДВС. Проще работать с выносными (автономными) установками. Их применяют в машинах, где на приборной панели разъем для тахометра не предусмотрен. Чаще всего это бюджетные модели или старые машины. В комплекте с ними идёт кронштейн для крепления на стойки переднего окна или торпедо.
Определение неисправности тахометра
Как и любой прибор, тахометр может поломаться. Выявить нарушение работы можно по простым признакам. О неисправности свидетельствует колебание стрелки устройства на холостых оборотах, при этом двигатель будет работать равномерно. В другом случае положение стрелки просто не будет меняться даже при резком нажатии на педали.
При обнаружении перечисленных проблем не обязательно ехать в центр сервисного обслуживания. Выполнить простой ремонт можно своими руками. Для начала надо внимательно осмотреть электрическую цепь и убедиться, что разрывы в ней отсутствуют. Затем проверить качество соединения проводов, посмотреть скрутки и при наличии сомнений закрепить их клеммами с зажимом или болтом.
Внимание! Посмотреть надо и на состояние контактов. Если они загрязнены или окислены, надо провести их очистку.
Проверить нужно всю цепочку связей, провода должны быть соединены и зафиксированы друг с другом. Если рядом есть подвижные компоненты, протестировать на разрыв надо элемент по всей длине. Если есть деформации, схема работы не запуститься.
Если примитивной диагностики для установления неисправности недостаточно, стоит обратиться к автоэлектрикам. Специалисты проверят состояние всех узлов, обеспечивающих определённый принц действия. В случае с серьёзными поломками, ремонт устройства не проводится. Мастера рекомендуют его заменить, потому что цена тахометра не высока.
Видео: Лечим приступ тахометра
Здесь наглядно показан ремонт приборной панели Nissan, связанный с работой спидометра и тахометра.
Теперь известно, какими бывают тахометры, от чего работает устройство, в чем измеряется скорость оборотов и для чего служит прибор. Это измерительное устройство определяет частоту вращения подвижных деталей в значимых механизмах автомобиля. Тахометр автомобильный устанавливает количество оборотов, которые сделал коленвал двигателя, совершенных на одну единицу времени. Используется прибор не только на легковых машинах. Его работа возможна на любом транспорте, оснащённом двигателем внутреннего сгорания.
Чтобы понять, откуда тахометр берет показания, и от какого датчика работает, надо изучить принцип его действия. Он может значительно различаться для механических, аналоговых и электронных вариантов. При этом только последние обеспечат точные измерения. Погрешность старых моделей – максимальна, достигает 500 оборотов.
Несмотря на принципиальную простоту, применение у тахометра – широкое. Он позволяет водителю подобрать выгодный момент для начала езды без лишних затрат горючего на прогрев элементов. Ценят данные полученные от устройства и ремонтники, они используют замеры, чтобы обеспечить контроль. Если тахометра нет, приходится подключать дополнительную технику.
В любом случае, стоит помнить про поговорку: лучше двигатель перекрутить, чем недокрутить.






